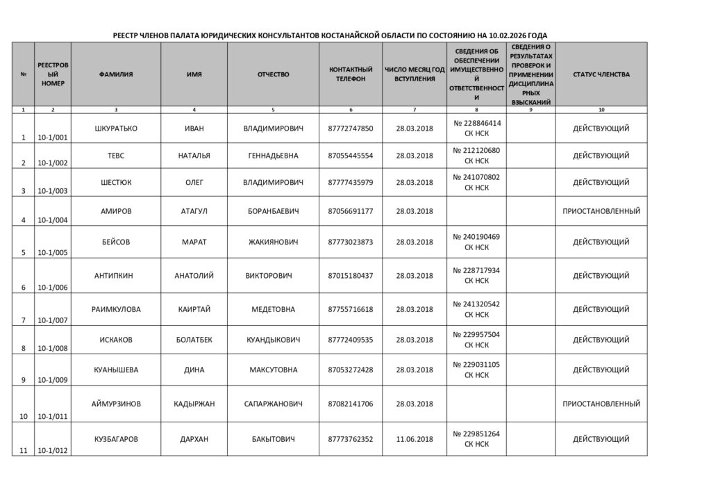
Гаврильчик Александр Николаевич исключен Правлением с 26 мая 2021 года, согласно ч. 1 ст. 83 Закона РК «Об адвокатской деятельности и юридической помощи».
Постановление Правления — Коллегиального органа управления Палаты юридических консультантов Костанайской области об исключении Гаврильчика А.Н. от 26 мая 2021 года.
Красная Юлия Викторовна исключена правлением 31.01.2020 года.
Предоставление постановления правления — коллегиального органа Палаты юридических консультантов Костанайской области от 31 января 2020 года
Постановление Правления — Коллегиального органа управления Палаты юридических консультантов Костанайской области об исключении Ахметова Вадима Сергеевича.
Постановление Правления — Коллегиального органа управления Палаты юридических консультантов Костанайской области об исключении Лаптевой Е.Ю.

